
Найуспішніші громади Тернопільщини: хто став лідером за приростом доходів
Громади Тернопільщини перевиконали бюджет на понад 240 мільйонів гривень у першому кварталі

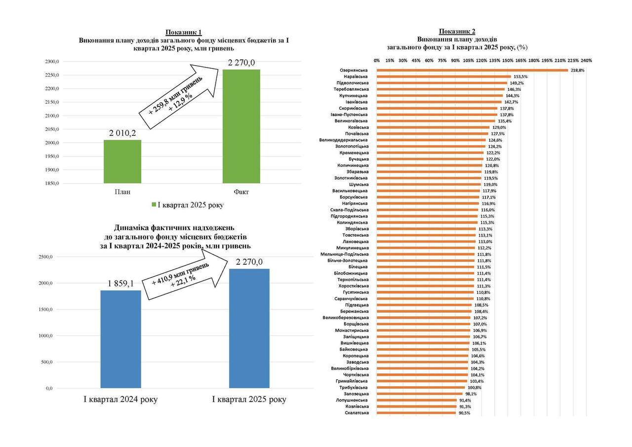
За підсумками І кварталу 2025 року, місцеві бюджети Тернопільської області поповнились на 2,27 млрд гривень власних доходів, що становить 112,9% від запланованого показника. У порівнянні з аналогічним періодом 2024 року надходження зросли на 410,9 млн гривень або на 22,1%. Про це розповіли у пресслужбі Тернопільської обласної військової адміністрації.
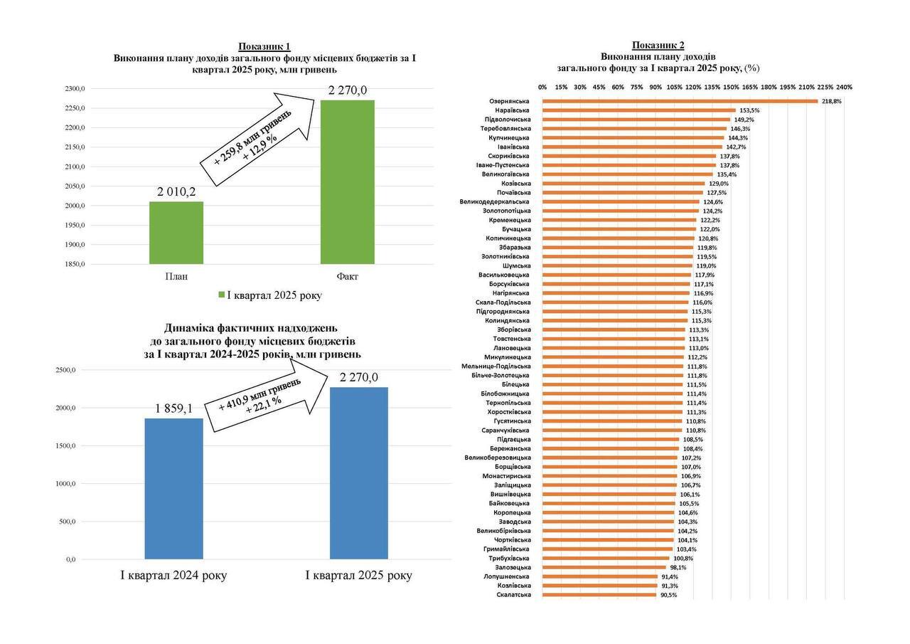
Планові показники перевиконали 51 із 55 територіальних громад (92,7%), забезпечивши додатково 243,4 млн гривень.
Водночас чотири громади не досягли планових обсягів: Лопушненська, Скалатська, Козлівська та Залозецька територіальні громади.
У 50 громадах зафіксовано приріст доходів загального фонду на 358,4 млн гривень, що дорівнює 23,1%. Найбільші темпи зростання продемонстрували:
▪️Збаразька ТГ – +28 млн грн (+57,7%)
▪️Підволочиська ТГ – +13,2 млн грн (+57,5%)
▪️Підгаєцька ТГ – +11,3 млн грн (+49,5%)
▪️Козівська ТГ – +16,2 млн грн (+48,7%)
▪️Іване-Пустенська ТГ – +1,3 млн грн (+47,2%)
▪️Озернянська ТГ – +2,9 млн грн (+43,4%)
▪️Нагірянська ТГ – +3,1 млн грн (+41,7%)
Фото Тернопільської ОВА та з відкритих джерел









